浅析寻呼业转型Call Center后主要的业务功能及业务处理流程
||2005-08-17
p>
p>
一、寻呼企业开展呼叫中心业务是一种自我发展的手段
呼叫中心服务的特征是提供和接收信息,为顾客解决实际问题,并要求对所提供的信息及时、准确、可靠。这与寻呼企业提供多元化信息服务、追求优质服务质量不谋而合。因此,寻呼企业开办呼叫中心业务不仅是一种新业务的开拓,更是寻呼企业提高服务质量的自我完善的手段。
寻呼业务与呼叫中心业务虽有相同之处,但不一样的地方还是不少的。因此,寻呼企业开办呼叫中心业务时必须做好以下几个方面的工作:第一、对市场业务进行预测。对开拓呼叫市场的潜力、竞争对手情况进行调研,如:业务外包、客户服务管理、信息查询(咨询)、电话直销/电话市场调查、远程访问、专家坐席、短信息、寻呼、VOIP、传真、电子信箱等等;第二、根据企业自身的实力进行投资。虽然寻呼业务的一些设备、人员可用于开展呼叫中心业务,但还需购置一些新设备(包括软件),如:计算机电话集成器(CTI)、自动呼叫分配器(ACD)、交互语言应答系统(IVR)或呼叫管理系统和VOIP网关等等,以及建立庞大的数据库,还要培训一批懂得呼叫中心业务的技术人员、话务人员,以及市场开拓(包括采集信息、发展客户等等)人员,需要投入相当的资金。因而,企业应根据财务能力、业务能力和技术力量统筹规划;第三、目前的寻呼业务收入主要来源于用户月租费或电话费的提成。而呼叫中心业务收入将是如何设计用户感兴趣的业务,使其为之付费;如何把信息提供者的信息快速、准确地推向市场,使提供者为之付费。另外,重中之重是――客户服务的处理方式需改变,各种业务流程需重新规范,资费方式需重新调整,计费系统也需重新设置。
本文试图通过基于易宝系统(中国)有限公司开发的EPRO2000客户服务中心平台对寻呼业转型Call Center后的基本功能结构及业务流程加以分析,期望可以起到抛砖引玉的作用。
二、易宝EPRO2000客户服务中心系统简介:
EPRO2000是易宝系统(中国)有限公司依据自身多年开发和经营Call Center的经验,组织一批程控交换、语音、传真、网络、媒体、数据库等方面的专家攻关、开发出的具有特色优势、体现个性化功能的Call Center解决方案。该系统全面支持CTI技术标准,具备灵活开放的接口,在平台规模方面可根据业务需要伸缩自如。易宝公司结合在香港长达6年Call Center运营管理经验开发了一系列行业应用解决方案,可以提供专业的运营管理培训和顾问服务。

三、基本业务功能:
寻呼客户服务中心是建立在大型呼叫中心(Call Center)基础上的综合性智能业务平台。它集客户投诉、业务咨询、信息查询和业务受理于一体,使客户可以在一个系统中全方位地获取各种服务。它提供通用的增值业务模块以及扩展模块接口,为进一步发展深层次增值业务奠定基础。
1. 业务受理
客户服务中心电话受理内容:电话购机,预约上门服务,业务申请,密码设置,机主留言,大客户服务,寻呼智能终端组网,秘书服务等,以及代办企事业单位委托的相关业务。
2. 业务查询
- 信息内容查询
- 机主留言查询
- 密码设置查询
- 资费查询
- 服务状态查询
- 投诉处理进程或结果查询
- 故障申告处理进程或结果查询
- 其它查询
3. 业务咨询
- 公司开办的各类业务咨询
- 业务处理流程和规则咨询
- 申办通信业务的条件、手续、地点、收费标准咨询
- 服务时限及业务处理周期咨询
- 通信产品的品牌、型号、性能、价格及使用方法咨询
- 通信产品销售和维修网点咨询
- 服务质量标准咨询
- 资费标准、优惠政策及收费网点咨询
- 客户使用通信业务中碰到的各种问题咨询
- 其它
4. 客户投诉
a. 资费投诉
- 不合理收费投诉
- 欠费纠纷投诉
- 其它
b. 营业服务质量投诉
- 服务态度投诉
- 服务时限投诉
- 服务措施投诉
- 代销点服务质量投诉
- 其它
c. 话务服务质量投诉
- 服务态度投诉
- 服务时限投诉
- 服务用语投诉
- 信息准确度投诉
- 信息及时度投诉
- 其它
d. 数据管理投诉
- 开机不及时投诉
- 无故停机投诉
- 其它
e. 通信障碍投诉
- 接入障碍投诉
- 信息接收障碍投诉
- 其它
f. 通信产品质量及售后维修投诉
5. 客户的建议
- 对公司建设、管理及提高服务质量的建议
- 有关业务改进的建议
- 有关新的业务需求的建议
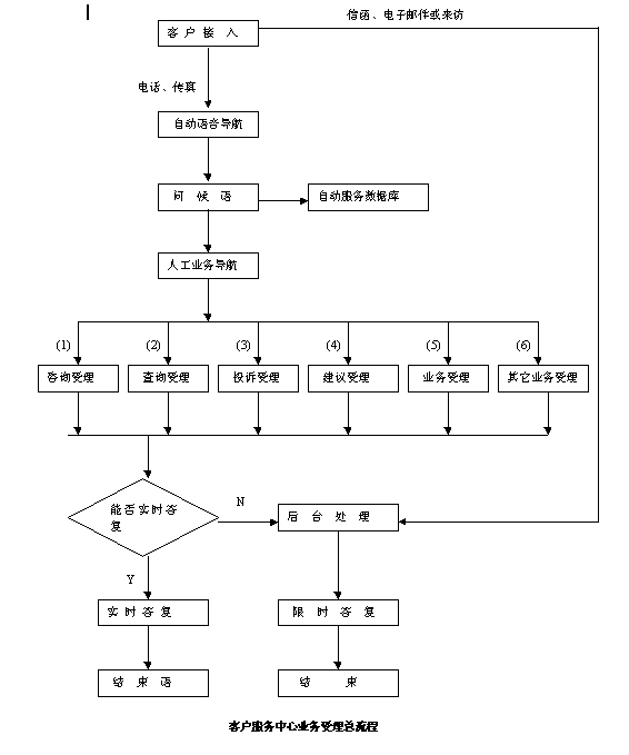
四、业务处理流程
(1) 客户服务中心业务受理流程
A、 客户服务中心业务受理由接入、导航、处理、回复组成。
B、 普通电话(含传真)客户拨通客户中心号码,客户服务中心完成接入,经自动语音导航,将业务量大、专业性强的业务操作尽量由客户自主完成,也可选择转入人工业务导航。
C、 电话(含传真机)客户拔通客户服务热线后,听到自动语音:”(普通话)您好!寻呼客户服务中心。XXXX请按1键,YYYY请按2键,人工台席服务请按3键。”英语、普通话各重复一遍。语音提示过程中容许在任何时候按1、2、3其中一键中断提示音,转入所选择服务。按非法键后应提示:”按键无效,请重新选择。(英语重复一遍)”
- 按1键 不经前台而自动将客户转接到XXXX服务;
- 按2键 不经前台而自动将客户转接到YYYY服务;
- 按3键 转入人工业务导航。
D、 对于客户来访、或以信函、电子邮件和其它方式提出的服务要求,应限时予以处理和回复。
E、 客户服务中心必须对所有受理业务内容进行存盘,以便二次投诉查询和统计分析。

(2)客户服务中心受理业务分类流程
A、咨询业务
咨询主要是回答客户有关台席各项业务种类、资费标准、服务网点及优惠措施等问题,要求以自编数据库或业务手册为基础,实时予以回答。一时无法解释清楚的,建议客户留下联系电话,将由专人负责答复。

B、查询受理
查询受理主要是指回答客户在使用本公司服务过程中产生的疑问。如信息内容服务期限,投诉结果的查询等。查询业务受理流程

C、投诉受理
客户投诉分通信质量和服务质量投诉两大类.所有投诉除详细记录投诉内容,投诉时间和客房户联系方式,形成投诉记录外.属通信质量投诉的,还要详细记录所投诉情况发生的时间和地点,发方便分析判断原因;属服务质量投诉的,要记录被投诉的部门,被投诉人的有关资料,如工号或当班时间,以便调查和确认责任.投诉结果须限时回复客户。

D、客户建议受理流程

E、业务受理流程

呼叫中心产业的方兴未艾给寻呼业带来了前所未有的发展机遇,寻呼企业结合各自的业务优势和特点,通过全方位了解新型呼叫中心在业务功能及业务处理流程上的设计原则,可以在系统建设的初期对转型前后的业务系统产生更加全面的认识。通过引进国内外先进的技术和运营管理经验,我们必将迎来国内寻呼业真正的复兴。
本文刊载于CTI论坛2001/05/29
责编:admin
转载请注明来源:浅析寻呼业转型Call Center后主要的业务功能及业务处理流程
相关文章
- 没有相关文章!


噢!评论已关闭。